今回の大学入試センター試験は強い寒波が襲って大変だったと聞く。
私もかなり昔にこれを受けたが、もう老境に近いのか、老眼が入ってきているのか、新聞に掲載されている問題を見るのも細かい字が読みにくくなっている40代半ばだが、ボケ防止の頭の訓練および受験生応援も兼ねて、数学Ⅰ・Aの問題に取り組んでみた。
解説を見て分かったつもりになるような大人のずるさは発揮しないで、真正面に取り組んだら、二日がかりで、第1問がようやく完答できた。もちろん、導出した答えが間違っていて、あれ??と解き直したりしたことはあるので試行錯誤はしたわけだ。
解いた問題はこちら。
センター試験2017:数学Ⅰ・数学Aの問題と解答 - 毎日新聞
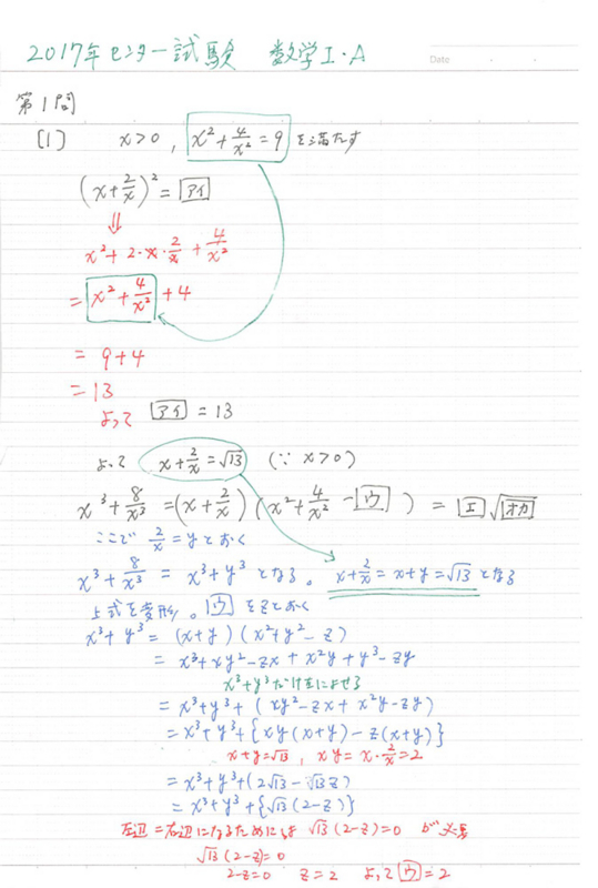
さんざん苦闘したのであるが、その解説としてのノートをきれいに書いたのでここに出そう。
解説みたいになっているが、一回解いてから書いたからこのようにかけているだけで、こんなスマートには解けず、ああでもないこうでもないとノートの枚数を重ねたことは言うまでもない。
まぁ、40台半ばになって教科書も見ずに、パズルを解くがごとくノートとペンと新聞を手に、一部とは言え解ききったことは自分で自分を褒めたいが、それにしても、受験生はこれを限られた時間で解かねばならないのだから、本当にお疲れさまと言いたい。
この解説にあたる部分は、4問中の3分の1だから12分の1なんだよね。いやー、まぁ、大変だよね。
もちろん、私も受験生だった頃はそれなりにがんばったわけだが、受験ではまぁ、うまくいっても今はうまくいっていないから、まぁ、そんなもんだよ、今回失敗しても特に気にする必要はないかも(^-^)
でも、この部分を解くのに必要な知識は式の展開と因数分解の知識くらいだからいい問題だと思うんだよね。基礎的な知識できちんと解ける。もちろんそれだから老いた私も解けたのだが、そういう問題がいい問題だと思うよ。基礎力を測るのがこの試験の目的だろうから。

